Khi nhìn vào biểu đồ giá, bạn có bao giờ tự hỏi tại sao đường giá lại lên xuống thất thường đến vậy? Đó chính là lúc Moving Average (đường trung bình động) phát huy sức mạnh của mình. Chỉ với một đường cong đơn giản chạy theo giá, MA giúp bạn nhìn rõ xu hướng thật sự của thị trường, loại bỏ nhiễu và xác định thời điểm mua – bán hợp lý. Dù bạn là trader Forex, nhà đầu tư chứng khoán hay người chơi crypto, hiểu rõ Moving Average là gì chính là bước đầu tiên để giao dịch thông minh và hiệu quả hơn. Do đó, hãy cùng Traderviet tìm hiểu nhé!
Giới thiệu tổng quan về Moving Average (MA)
Trong thế giới phân tích kỹ thuật, Moving Average (MA) – hay còn gọi là đường trung bình động – là chỉ báo phổ biến giúp các nhà giao dịch xác định xu hướng giá. MA hoạt động bằng cách làm mượt dữ liệu giá, giúp giảm nhiễu và hiển thị xu hướng thực sự của thị trường.
Tại sao Moving Average quan trọng?

MA không chỉ giúp nhận diện xu hướng, mà còn được xem là nền tảng của hàng chục chỉ báo kỹ thuật khác, như MACD, Bollinger Bands, hay Ichimoku. Gần như bất kỳ trader nào cũng bắt đầu bằng việc quan sát các đường MA để tìm điểm mua – bán hợp lý.
Ai nên sử dụng Moving Average?
- Nhà đầu tư dài hạn: dùng MA200 để xác định xu hướng dài.
- Trader ngắn hạn: dùng MA20 hoặc MA50 để bắt nhịp ngắn.
- Scalper: sử dụng MA5 hoặc MA10 để phản ứng nhanh với biến động.
Khái niệm cơ bản về Moving Average là gì?
Định nghĩa chính xác
Moving Average là giá trung bình của một tài sản trong một khoảng thời gian nhất định, được “làm mới liên tục” theo dữ liệu mới. Ví dụ: MA20 tính trung bình giá 20 ngày gần nhất; khi có giá mới, giá cũ nhất bị loại bỏ.
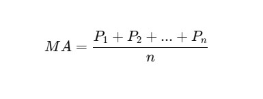
Công thức tính cơ bản

Trong đó:
- P₁, P₂, …, Pₙ là giá đóng cửa của từng kỳ,
- n là số chu kỳ (ví dụ: 10, 20, 50, 200).
Ví dụ minh họa
- Giả sử giá đóng cửa 5 ngày là: 10, 11, 13, 12, 14.
- Khi đó: MA(5)=(10+11+13+12+14)/5=12
- Do đó, Đường MA sẽ hiển thị giá trị trung bình 12.
Lịch sử và nguồn gốc hình thành chỉ báo MA
Nguồn gốc trong thống kê
Khái niệm “trung bình trượt” bắt đầu từ các nghiên cứu thống kê vào thế kỷ 18, khi các nhà toán học tìm cách làm mượt dữ liệu biến động.
Ứng dụng đầu tiên trong tài chính

Vào những năm 1900, Charles Dow và sau đó là Richard Donchian đã mang ý tưởng này vào phân tích giá cổ phiếu. Họ nhận thấy rằng trung bình giá có thể tiết lộ xu hướng ẩn, giúp dự đoán biến động sắp tới.
Cách hoạt động của Moving Average trong giao dịch tài chính
Cơ chế làm mượt dữ liệu giá
Moving Average “lọc” các biến động nhỏ trong giá, giữ lại xu hướng chính. Khi giá nằm trên MA, thị trường được xem là đang trong xu hướng tăng; ngược lại, khi giá nằm dưới MA, xu hướng là giảm.
Tín hiệu giao dịch phổ biến
- Golden Cross (Giao điểm vàng): MA50 cắt lên trên MA200 → tín hiệu mua.
- Death Cross (Giao điểm tử thần): MA50 cắt xuống dưới MA200 → tín hiệu bán.
Vai trò trong chiến lược giao dịch
- Xác định xu hướng chính.
- Làm mốc hỗ trợ/kháng cự động.
- Kết hợp với RSI hoặc MACD để xác nhận tín hiệu.
Nguyên lý tính toán của đường trung bình động
Simple Moving Average (SMA)
Tính trung bình cộng giá trong một giai đoạn nhất định. SMA dễ hiểu, nhưng phản ứng chậm với biến động.
Exponential Moving Average (EMA)
EMA nhấn mạnh vào giá gần đây hơn, giúp phản ứng nhanh hơn SMA. Do đó, EMA thường được các day trader hoặc scalper ưa chuộng.
Weighted Moving Average (WMA)
WMA gán trọng số giảm dần theo thời gian – nghĩa là giá mới có ảnh hưởng nhiều hơn giá cũ.
Smoothed Moving Average (SMMA)
Kết hợp giữa SMA và EMA, làm mượt tín hiệu hơn, phù hợp khi thị trường nhiễu hoặc dao động mạnh.
Tác động của khung thời gian đến tín hiệu MA
MA ngắn hạn (MA5, MA10, MA20)

- Phản ứng nhanh với biến động giá.
- Phù hợp cho scalper hoặc day trader.
- Dễ nhiễu khi thị trường đi ngang.
MA trung hạn (MA50, MA100)
- Giúp xác định xu hướng trung hạn.
- Phổ biến với swing trader.
MA dài hạn (MA200)
- Dùng cho nhà đầu tư dài hạn.
- Xác định xu hướng chính và điểm đảo chiều lớn.
Các loại Moving Average phổ biến nhất hiện nay
Simple Moving Average (SMA) là gì?
Simple Moving Average (SMA) là đường trung bình động đơn giản, được tính bằng trung bình cộng giá đóng cửa trong một khoảng thời gian xác định.
Ví dụ: SMA20 là trung bình giá của 20 phiên gần nhất. SMA giúp nhận diện xu hướng tổng thể, nhưng có nhược điểm là phản ứng chậm với biến động giá mới.
Đặc điểm nổi bật của SMA:
- Độ mượt cao, dễ đọc, phù hợp với người mới.
- Thích hợp khi thị trường có xu hướng rõ ràng.
- Dễ gây trễ tín hiệu trong giai đoạn giá biến động mạnh.
Exponential Moving Average (EMA) là gì?

EMA (đường trung bình động lũy thừa) cho trọng số cao hơn cho giá gần đây, giúp phản ứng nhanh hơn với biến động giá.
EMA được các day trader và scalper sử dụng nhiều hơn vì nó bắt tín hiệu đảo chiều sớm hơn SMA.
Đặc điểm của EMA:
- Phản ứng nhanh, hữu ích khi thị trường biến động mạnh.
- Tuy nhiên, dễ gây nhiễu trong giai đoạn giá sideway (đi ngang).
Weighted Moving Average (WMA) và Smoothed Moving Average (SMMA)
- WMA tính trung bình có trọng số, nghĩa là giá gần nhất có ảnh hưởng lớn nhất đến giá trị trung bình.
- SMMA (Smoothed Moving Average) làm mượt hơn cả EMA và SMA, giúp loại bỏ nhiễu nhưng lại phản ứng chậm hơn.
Ứng dụng của Moving Average trong phân tích kỹ thuật
Nhận diện xu hướng thị trường với MA
MA là công cụ lý tưởng để xác định xu hướng tổng thể:
- Khi giá nằm trên MA → thị trường tăng.
- Khi giá nằm dưới MA → thị trường giảm.
- Khi giá dao động quanh MA → thị trường sideway.
Giao điểm vàng (Golden Cross) và giao điểm tử thần (Death Cross)
Hai tín hiệu nổi tiếng nhất trong MA:
- Golden Cross: MA50 cắt lên MA200 → tín hiệu mua mạnh.
- Death Cross: MA50 cắt xuống MA200 → tín hiệu bán mạnh.
MA như đường hỗ trợ và kháng cự động
Giá thường phản ứng quanh đường MA, giống như một hỗ trợ hoặc kháng cự.
Ví dụ: Trong xu hướng tăng, giá bật lên từ MA20 hoặc MA50 là cơ hội mua vào.
Cách kết hợp MA với chỉ báo khác

- RSI: Giúp xác định điểm quá mua/quá bán.
- MACD: Kết hợp với EMA để xác nhận xu hướng.
- Bollinger Bands: Kết hợp MA20 để theo dõi độ biến động.
Sai lầm phổ biến khi sử dụng Moving Average
Sử dụng sai khung thời gian
Nhiều người dùng MA20 cho giao dịch dài hạn hoặc MA200 cho lệnh ngắn hạn, khiến tín hiệu bị sai lệch.
Lời khuyên: Chọn khung MA phù hợp với phong cách giao dịch của bạn.
Lạm dụng tín hiệu giao cắt
Không nên vào lệnh chỉ dựa trên tín hiệu MA cắt nhau. Hãy xác nhận thêm bằng RSI hoặc khối lượng giao dịch.
Mẹo và chiến lược nâng cao với MA cho trader chuyên nghiệp
Chiến lược MA kép (Double MA Strategy)
Sử dụng hai đường MA – thường là MA50 và MA200:
- Khi MA50 cắt lên MA200 → mua vào.
- Khi MA50 cắt xuống MA200 → bán ra.
Chiến lược MA ba lớp (Triple Moving Average Crossover)
- Kết hợp 3 đường MA: ngắn (MA10), trung (MA50), dài (MA200).
- Tín hiệu mua mạnh khi cả 3 đường xếp theo thứ tự tăng dần.
Chiến lược kết hợp MA và RSI
- Khi RSI dưới 30 (quá bán) và giá chạm MA50 → cơ hội mua rất tốt.
- Khi RSI trên 70 (quá mua) và giá chạm MA200 → khả năng đảo chiều giảm.
Moving Average trong thị trường Crypto, Forex và Chứng khoán
Trong thị trường Crypto
MA rất hữu ích vì thị trường tiền điện tử biến động liên tục. Trader thường dùng EMA20 hoặc EMA50 để bắt nhịp sóng nhanh.
Trong thị trường Forex
Các trader Forex thường kết hợp EMA10 – EMA50 – EMA200 để xác định xu hướng ngắn, trung và dài hạn.
Trong thị trường Chứng khoán
Đường MA200 là “kim chỉ nam” của nhà đầu tư cổ phiếu. Nếu giá cổ phiếu nằm trên MA200 → tín hiệu tốt; dưới MA200 → cảnh báo rủi ro.
Ưu điểm, hạn chế và lưu ý khi sử dụng MA
Ưu điểm
- Đơn giản, dễ sử dụng, phù hợp cho cả người mới.
- Hiệu quả trong việc nhận diện xu hướng.
- Dễ kết hợp với các chỉ báo khác.
Hạn chế

- Hoạt động kém trong thị trường đi ngang.
- Có độ trễ (lag) nhất định trong việc phản ứng với giá mới.
Lưu ý quan trọng
Luôn xác nhận tín hiệu MA bằng chỉ báo bổ sung như RSI, khối lượng giao dịch hoặc mô hình nến.
Câu hỏi thường gặp (FAQs)
Moving Average là gì trong phân tích kỹ thuật?
Là công cụ thống kê tính trung bình giá trong một khoảng thời gian để xác định xu hướng thị trường.
Nên dùng SMA hay EMA cho giao dịch ngắn hạn?
EMA vì phản ứng nhanh hơn với biến động giá mới.
Đường MA200 có ý nghĩa gì?
MA200 biểu thị xu hướng dài hạn – nếu giá nằm trên MA200, thị trường thường trong xu hướng tăng.
Có thể kết hợp nhiều loại MA cùng lúc không?
Có, đó là cơ sở của chiến lược Double MA và Triple MA.
MA có chính xác trong mọi thị trường không?
Không, MA hoạt động tốt nhất trong thị trường có xu hướng rõ ràng.
Có công cụ nào tốt hơn MA không?
Không hẳn tốt hơn, nhưng RSI, MACD, Bollinger Bands thường được kết hợp với MA để tạo hệ thống hoàn chỉnh.
Kết luận
Moving Average là công cụ đơn giản nhưng hiệu quả và bền vững theo thời gian. Dù bạn là trader mới hay chuyên nghiệp, MA vẫn là nền tảng cốt lõi trong việc phân tích xu hướng, tìm điểm vào – ra và tối ưu chiến lược đầu tư. Điều quan trọng là hiểu cách chọn loại MA và khung thời gian phù hợp với phong cách giao dịch của bạn. Khi được kết hợp đúng cách, MA có thể giúp bạn tăng xác suất chiến thắng và giảm rủi ro đáng kể.
Link đăng ký tài khoản các sàn giao dịch hàng đầu hiện nay: Exness/XM/IC Markets/Valetax/Vantage
